本文解读 Communications Physics 2025 年论文《Predicting symmetric structures of large crystals with GPU-based Ising machines》,该研究提出融合对称性编码与伊辛机的 CRYSIM 算法,通过 GPU 加速的 Fixstars Amplify 伊辛求解器,实现晶体结构的高效预测。针对含 160 个原子的 Ca₂₄Al₁₆(SiO₄)₂₄超大晶体,其在 5 次测试中有 4 次成功还原基态结构,性能超越 CALYPSO 和贝叶斯优化(BO)等传统方法,为超大体系晶体结构预测提供了全新范式。

晶体是自然界中最规整的物质形态之一,从日常的食盐、冰糖到高科技领域的半导体、超导材料,晶体的原子排列方式(晶体结构)直接决定了其物理和化学性能。晶体结构预测(CSP)作为材料科学的核心技术,旨在仅通过化学组成就能推断出最稳定的原子排列,是新材料发现的关键前提。但随着晶体尺寸增大,原子排列的可能组合呈指数级增长,传统方法面临计算成本高、搜索效率低的困境,含 100 个以上原子的超大晶体结构预测长期以来都是科研难题。
这篇发表在Communications Physics的研究,提出了名为CRYSIM的晶体结构预测算法,创新性地将晶体对称性编码与 GPU 加速伊辛机相结合,大幅缩小搜索空间,成功攻克超大晶体结构预测的瓶颈,让复杂晶体的 “对称密码” 被精准破解。
一、晶体结构预测:超大体系的 “搜索困境”
晶体结构预测的核心挑战在于潜在能量面(PES)上存在海量局部极小值,且随着原子数量增加,可能的原子排列组合呈爆炸式增长。一个仅含 60 个原子的晶体,其可能的结构构型就足以让传统算法望而却步,而含 100 个以上原子的超大晶体,更是长期超出传统方法的处理能力。
传统晶体结构预测方法主要分为两类,但均存在明显短板:一类是遗传算法、粒子群优化、贝叶斯优化等优化算法,它们需要大量迭代搜索和结构弛豫,计算成本极高,且在超大体系中效率急剧下降;另一类是深度学习生成模型,虽然发展迅速,但受限于训练数据的稀缺性,对未见过的超大晶体体系外推能力不足。
此外,现有基于伊辛机的预测方法大多忽略了晶体的对称性特征,或无法动态调整空间群,导致搜索空间庞大且缺乏物理约束,难以应用于复杂体系。晶体结构的对称性是自然界的基本规律,绝大多数稳定晶体都具有特定的空间群和对称操作,如何利用对称性简化搜索过程,成为突破超大晶体预测难题的关键。
二、AI + 伊辛机破局:CRYSIM 的对称编码策略
2.1 对称性编码 + 伊辛机优化

图1 CRYSIM晶体结构预测工作流程
CRYSIM 的核心创新在于将晶体的对称性信息融入二进制编码,再通过 GPU 加速的伊辛机求解二次无约束二进制优化(QUBO)问题,实现高效搜索。其整体流程清晰且环环相扣:
1.随机生成初始晶体结构,转换为包含对称性信息的二进制向量;
2.利用 M3GNet 神经网络势快速估算这些结构的势能,构建训练数据集;
3.训练因子分解机(FM),将势能面近似为二次函数,转化为伊辛机可求解的 QUBO 问题;
4.借助 GPU-based 伊辛求解器 Fixstars Amplify 优化二进制向量,解码得到候选结构;
5.对候选结构进行弛豫,将优质结构反馈到数据集并重新训练模型,迭代优化直至找到最稳定结构。
这套框架的关键在于充分利用晶体对称性,将无序的结构搜索转化为有序的对称空间搜索,大幅降低了问题复杂度。
2.2 让伊辛机 “读懂” 晶体对称性
CRYSIM 通过三项核心技术实现对称性与伊辛机的高效结合:
全方位对称性编码:二进制向量不仅包含晶格参数和原子坐标,还专门编码了晶系、空间群、魏克夫位置组合(WPC)等对称性信息,仅搜索符合对称性的合理结构,而非所有可能构型;
魏克夫位置组合生成:根据化学组成递归计算可能的魏克夫位置组合,优先选择高多重度组合,符合自然界晶体的形成规律,进一步缩小搜索范围;
最小原子间距筛选:解码时选择最小原子间距(MID)最大的结构,避免生成原子过近的非物理结构,提升搜索效率和结构合理性。
2.3 伊辛机与因子分解机的数学基础
CRYSIM 的数学核心是将晶体结构预测问题转化为伊辛机可求解的 QUBO 问题,并通过因子分解机近似势能面。
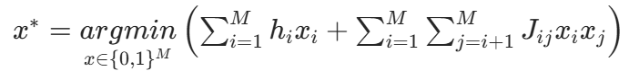
(1)伊辛机求解的 QUBO 问题

式中,x 为 M 维二进制向量,编码晶体的结构与对称性信息,hᵢ和 Jᵢⱼ为实数参数,分别对应单变量和双变量相互作用能,伊辛机通过最小化该函数找到最优结构编码。
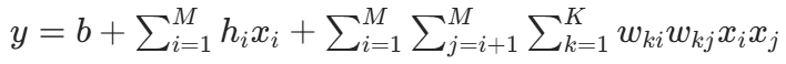
(2)因子分解机(FM)势能近似

该公式将势能面近似为二次函数,其中 b 为偏置项,hᵢ为线性项参数,wₖᵢ和 wₖⱼ为交互项参数,通过训练让模型精准拟合真实势能面,确保伊辛机优化方向的正确性。
三、关键结果:超大晶体预测的性能突破
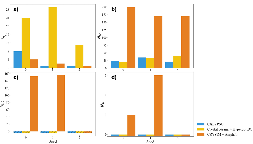
3.1 小型基准晶体:精度与效率双优
在 ScBe₅、Ca₄S₄、Ba₃Na₃Bi₃等小型基准晶体上,CRYSIM 展现出优异的预测性能:
· 能够快速发现基态结构,首次匹配基态的迭代次数(Iₘ,₀)显著少于 CALYPSO 和贝叶斯优化;
· 生成的稳定结构数量更多,且能量与基态结构高度吻合;
· 对于复杂的 Ba₃Na₃Bi₃体系,CRYSIM 是唯一能成功发现稳定态并给出正确能量估算的方法。

图2 CRYSIM与传统方法在基准晶体上的性能对比
3.2 超大晶体预测:突破 150 原子极限
CRYSIM 的核心优势在超大晶体体系中尤为突出,针对 Y₆Co₅₁、Ca₂₄Al₁₆(SiO₄)₂₄(160 原子)、(SiO₂)₉₆(288 原子)三个超大体系,表现远超传统方法:
· Ca₂₄Al₁₆(SiO₄)₂₄:5 次测试中有 4 次成功还原基态结构,在 300 次弛豫内即可找到正确构型;
· (SiO₂)₉₆:生成结构的弛豫能量(-7.890 eV/atom)与基态能量(-7.891 eV/atom)几乎一致,显著优于 CALYPSO 和贝叶斯优化;
· 计算效率优势明显:CRYSIM 的编码长度仅与元素种类相关,而非原子数量,在超大体系中计算成本增长缓慢,而传统方法的复杂度随原子数量线性或指数增长。

图3 超大晶体预测的能量曲线与结构对比
3.3 关键参数影响:晶格离散分辨率与最小原子间距
研究还系统探究了关键参数对预测性能的影响:
· 晶格离散分辨率(LDR):Y₆Co₅₁和 Ca₂₄Al₁₆(SiO₄)₂₄在 LDR=12 时性能最佳,而含 192 个氧原子的 (SiO₂)₉₆需要更高的 LDR=15 才能更好捕捉原子空间关系;
· 最小原子间距(MID)处理:加入 MID 筛选后,可有效避免非物理结构,显著提升优化效率,尤其对高 LDR 和大体系效果更明显。
四、科学意义:晶体预测迈入对称优化时代
CRYSIM 的出现,不仅突破了超大晶体结构预测的技术瓶颈,更建立了 “对称性编码 + 伊辛机优化” 的全新范式,其科学意义深远。在技术层面,它首次实现了动态优化晶体对称性的伊辛机基预测算法,通过充分利用晶体的对称性特征,将庞大的结构搜索空间大幅缩小,为超大体系晶体预测提供了高效方案;在应用层面,该方法可直接应用于半导体、超导材料、催化剂等领域的复杂晶体结构预测,加速新型功能材料的发现进程。
更值得关注的是,CRYSIM 具有良好的扩展性,虽然当前基于 GPU 伊辛机实现,但随着量子计算技术的发展,未来可直接适配量子退火器,有望进一步提升超大晶体结构预测的效率和精度。
五、总结
超大晶体的结构预测曾长期受制于搜索空间庞大和计算成本高昂的双重挑战,传统方法难以兼顾精度与效率。CRYSIM 算法通过创新性地将晶体对称性编码与 GPU 加速伊辛机相结合,打破了这一僵局 —— 它以对称性为约束,大幅缩小搜索范围,通过因子分解机近似势能面,借助伊辛机实现高效优化,成功攻克含 160 个原子的超大晶体预测难题,性能远超 CALYPSO 和贝叶斯优化等传统方法。
这项研究不仅为超大晶体结构预测提供了全新工具,更标志着晶体结构预测正式迈入 “对称优化” 时代。随着量子伊辛机的发展和神经网络势精度的提升,CRYSIM 有望在更复杂的晶体体系中发挥更大作用,推动材料科学向高效、精准的结构预测与设计迈进。
论文链接:https://www.nature.com/articles/s42005-025-02380-y
|