本帖最后由 Jack小新 于 2026-4-24 10:10 编辑
本文解读ACS Nano 2025论文,提出等变图神经网络(GNN)与蒙特卡洛(MC)模拟相结合的一体化计算框架,高效实现原子无序材料的热力学系综与宏观物性建模。研究以表面端基无序 MXene 材料 Ti₃C₂Tₓ为研究对象,通过高通量 Wannier 化流程构建数据集,训练得到的 GNN 模型可同时高精度预测体系能量、光导率谱与电导率谱,其中能量预测决定系数 R² 达 0.99,电导率预测 R² 达 0.96。将训练好的 GNN 模型嵌入蒙特卡洛模拟后,研究发现电导率在有序–无序相变温度附近出现特征峰,而光导率几乎不受局部原子排布影响。该框架大幅降低构型采样成本,为高熵合金、无序半导体等复杂体系的高效设计提供通用新路径。

原子无序是真实材料中普遍存在的微观状态,广泛出现在高熵合金、二维 MXene、氧化物、玻璃以及各种缺陷材料中。原子排布的混乱程度虽然细微,却能够显著改变材料的电子结构、载流子输运、光学响应以及催化活性。实验测量得到的宏观性质,本质上是大量微观原子构型在有限温度下的热力学统计平均结果。如果不能对海量构型进行有效采样,计算结果就无法与实验数据直接对比,也难以解释真实材料的结构与性能关系。
然而,对无序材料进行可靠的系综模拟一直是计算材料科学的长期难题。一方面,无序结构的构型空间极其庞大,想要获得有意义的热力学平均,必须采样成百上千种不同的原子排布。另一方面,光导率、电导率等关键功能性质依赖复杂的电子结构计算,无法仅从原子坐标直接估算,传统第一性原理方法的计算成本高到难以实现大规模统计。这些困难让无序体系的机理研究与材料设计长期受到限制。
一、无序材料的模拟困境:构型太多,性质难算
在包含原子无序的体系中,每一个原子位点都可能出现不同元素、不同官能团或空位的随机占据。这种随机性意味着体系并不存在单一的 “最稳定结构”,而是由无数能量接近的构型共同构成热力学系综。实验测量的导电、透光、发热等性质,都是这些构型在一定温度下共同贡献的平均结果。如果只计算少数几个结构,得到的结论往往偏离真实情况,甚至得出完全错误的规律。
更具挑战的是,许多关键功能性质无法通过简单结构参数来预测。以 MXene 为例,表面端基 —O、—F、空位的随机分布会直接改变费米能级附近的电子带结构,进而影响载流子迁移、散射行为与光学跃迁过程。这些输运与光学性质需要通过高精度电子结构计算才能获得,而传统密度泛函理论在面对数千个构型时,计算量几乎无法承受,使得无序材料的宏观物性长期难以实现高效、可靠的定量模拟。
现有的计算方法难以同时解决大规模构型采样与高精度物性预测的问题。团簇展开方法能够对能量进行高效采样,但难以扩展到光谱类性质。分子动力学可以模拟原子运动,但难以在合理时间内遍历完整的构型空间,也无法低成本地获得可靠的光、电输运谱。因此,材料领域迫切需要一种既能快速采样构型,又能精准预测复杂功能性质的统一框架。
二、AI 突破:等变图神经网络 + 蒙特卡洛一体化框架

图1 面向原子无序材料的等变 GNN 与蒙特卡洛耦合计算框架
这项研究提出的计算框架,首次将等变图神经网络与蒙特卡洛模拟深度耦合,实现无序材料系综性质的高效建模。整个流程分为数据集构建、模型训练和蒙特卡洛统计三个阶段,形成从原子结构到宏观物性的完整计算链路。研究人员首先通过高通量第一性原理计算与最大局域化 Wannier 函数流程,生成一批标注精确能量、光导率谱和电导率谱的构型数据。
在数据集基础上,研究团队训练了一个能够同时预测多类型性质的等变图神经网络。与普通神经网络不同,等变图神经网络能够严格保留原子系统的旋转、平移对称性,因此对原子配位环境、局部结构变化极其敏感,非常适合捕捉无序带来的微小结构差异。该模型以原子图作为输入,输出体系能量、光导率随光子能量的变化曲线、电导率随温度的变化曲线,实现多目标同步高精度预测。
训练完成的图神经网络会被嵌入蒙特卡洛模拟流程,替代原本耗时的第一性原理计算。在每一步蒙特卡洛步中,神经网络能够在毫秒级别给出当前构型的能量与输运性质,使得大规模构型采样变得切实可行。通过 Metropolis 抽样,系统可以在不同温度下遍历低能量构型,最终通过统计力学公式计算出热容、相变温度、系综平均电导率与光导率等一系列宏观物理量。
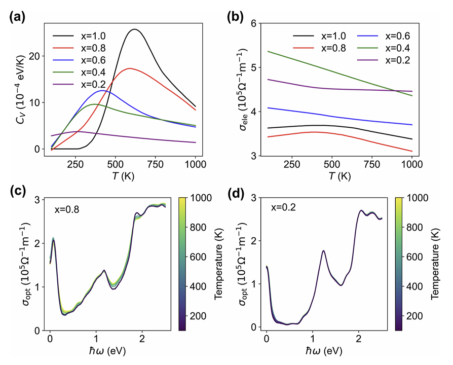
研究采用下述方法连接微观模拟与宏观物性。第一个是用于判断有序–无序相变的定容热容公式,热容峰值对应的温度即为相变温度。

第二个是用于计算系综平均电导率的谐波平均公式,更符合二维材料导电的串联物理图像。

三、GNN 模型高精度预测:逼近 DFT,速度提升万倍
研究以应用广泛的二维 MXene 材料 Ti₃C₂Tₓ为测试体系,构建了包含 —O、—F 端基和空位无序的大规模数据集。在独立测试集上,图神经网络展现出接近第一性原理的预测精度,同时保持极高的计算效率。能量预测的决定系数 R² 达到 0.99,平均相对误差仅为 0.1%,说明模型能够精准区分不同无序构型的热力学稳定性。
在光谱类性质的预测上,模型同样表现出色。光导率曲线预测的决定系数 R² 达到 0.89,电导率曲线预测 R² 达到 0.96。从谱线形状对比可以看出,神经网络预测的光响应与电输运曲线与 DFT 计算结果几乎重合,能够准确还原峰位、峰强与整体趋势。这一等效性至关重要,意味着在后续蒙特卡洛模拟中,AI 可以完全替代 DFT 进行性质评估。
速度的提升更是颠覆性的。对于单个构型,DFT 计算光导率与电导率往往需要小时甚至更久,而训练好的图神经网络仅需毫秒即可完成预测。这一效率提升达到 10⁴倍以上,使得过去无法实现的上千构型统计模拟变得轻松可行。这一突破让无序体系的热力学与功能性质模拟从 “不可能” 变为 “常规计算”。

图2 GNN 与 DFT 在能量、光导率、电导率上的预测一致性对比
四、蒙特卡洛模拟揭示全新物理规律:电导敏感,光导稳健
将训练完成的 AI 模型用于蒙特卡洛模拟后,研究团队系统揭示了无序 MXene 的热力学与输运行为。随着温度升高,体系会从低温部分有序相转变为高温完全无序相,这一转变可以通过定容热容的峰值清晰判断。模拟结果显示,随着 —F 比例或空位浓度升高,相变温度会明显上升,说明氟端基与空位会增强局部有序趋势,使结构更难进入完全混乱状态。
电导率的温度依赖行为呈现出高度独特的规律。在 —F 含量较低时,电导率随温度升高而升高,表现出类似半金属的输运行为。当 —F 含量较高时,电导率随温度升高先升高后降低,在相变温度附近出现明显峰值。这一特殊现象源于电子散射与载流子掺杂的共同作用,在低温有序区,氟原子类似点缺陷强烈散射载流子,而进入高温无序区后,体系平均恢复平移对称性,表现出金属型输运特征。
与电导率相反,光导率几乎不受局部原子无序的影响。在不同温度、不同有序程度下,光导率曲线几乎保持不变,仅随整体化学成分发生改变。1.5 eV 附近的特征峰强度只由 —F 比例决定,与端基是否随机分布无关。这一发现解释了长期以来实验观察到的现象,即 MXene 光学响应稳定可控,而电学响应易受制备条件影响。
空位的引入会进一步改变无序体系的输运行为。空位会显著破坏晶格周期性,增强载流子散射,从而明显降低电导率。空位浓度越高,电导率下降越明显,相变行为也会随之改变。与之继续形成对比的是,光导率谱依旧对空位排布不敏感,仅表现出微弱的谱线展宽。这些发现为实验调控 MXene 光、电功能提供了清晰的理论指导。

图3 无序 MXene 的有序–无序相变、系综平均电导率与光导率光谱
五、科学意义与未来展望
这项研究建立的图神经网络与蒙特卡洛联合框架,首次实现无序材料热力学与光谱类系综性质的高效、统一建模。它突破了传统方法无法同时兼顾大规模采样与高精度物性预测的瓶颈,为高熵合金、无序半导体、玻璃、自旋液体等复杂体系提供了通用研究工具。通过 AI 驱动的计算,研究者可以快速揭示无序对宏观功能的调控规律,而不再受计算成本的限制。
该研究在 MXene 体系中发现的电导率相变峰与光导率稳健性,也为功能材料设计提供了全新思路。对于需要电学响应可调的场景,可以通过调控无序与温度实现电导峰值调控;对于需要光学信号稳定的场景,可以利用光导率对无序不敏感的特性,设计可靠的光学器件。这种机理层面的理解,对能源、催化、电子器件等领域具有重要应用价值。
六、总结
原子无序长期以来是材料模拟与设计的重大难题,海量构型与复杂物性使传统计算难以开展。这项发表于 ACS Nano 的研究,利用等变图神经网络与蒙特卡洛模拟相结合的 AI 框架,实现了无序材料热力学平均与宏观功能的高效预测。模型在保持接近 DFT 精度的同时,将计算速度提升万倍以上,并成功揭示 MXene 电导率对无序高度敏感、光导率仅由成分决定的独特规律。这一方法为无序材料的理性设计打开了新大门,推动高熵合金、二维材料、非晶材料等领域进入可预测、可定制的新时代。
论文链接:A Machine Learning Framework for Modeling Ensemble Properties of Atomically Disordered Materials | ACS Nano |