Adv. Funct. Mater.|数据驱动MOF逆向设计:从分子指纹挖掘到CH₄/N₂高效分离验证

graphite
2026-04-28 23:02:11
人工智能
技术教程


  研究背景与科学问题


煤层气(CBM)作为重要的非常规天然气资源,其高效利用的核心瓶颈在于CH₄/N₂混合气的分离。由于CH₄与N₂在动力学直径(分别为3.8 Å和3.6 Å)、极化率和沸点等物理化学性质上高度相似,二者的分离极具挑战性。工业上主要依赖低温精馏技术,但该方法存在操作灵活性差、能耗高等固有缺陷。相比之下,基于先进多孔吸附剂的变压吸附(PSA)技术因低能耗和工艺灵活性而被视为更具前景的替代方案。


金属有机框架(MOFs)凭借其结构多样性和孔道环境的高度可调性,已在CH₄/N₂分离领域展现出显著潜力。然而,MOFs的结构空间极为庞大,传统"试错法"难以高效筛选出高性能材料。尽管高通量计算筛选(HTCS)和机器学习(ML)已被引入MOF研究,但现有工作大多局限于已知结构的性能预测或筛选,未能实现从微观构建单元到配体设计的逆向突破,也缺乏针对CH₄/N₂分离体系的定制化特征工程。


北京化工大学刘大欢教授团队提出了一种面向CH₄/N₂分离的定制化数据驱动策略,将GCMC预筛选、MACCS分子指纹驱动的可解释ML模型与概率分析相结合,实现了从优势片段识别、配体逆向设计到实验合成验证的完整闭环工作流,最终成功合成了高性能MOF材料Ni-BIC。


  结构-性能关系的计算解析


研究首先利用巨正则蒙特卡洛(GCMC)方法,系统计算了CoRE MOF数据库中MOFs的CH₄/N₂分离选择性,并建立了选择性与六项物理结构参数(孔径限制直径PLD、最大腔体直径LCD、可及比表面积ASA、可用孔体积AV、空隙率VF和密度ρ)之间的关联。



▲ Fig.1 | CH4/N2选择性与物理及能量结构描述符之间的关系。(a) 最大孔径(PLD)。(b) 最大腔径(LCD)。(c) 可及比表面积(ASA)。(d) 可及孔体积(AV)。(e) 密度。(f) S0。


如图1所示,CH₄/N₂选择性与PLD、LCD、ASA和AV总体呈负相关趋势。在PLD为3–7.4 Å、LCD为3–8.9 Å的范围内,MOFs表现出优异的分离选择性。这一现象的物理本质在于:当孔径略大于CH₄的动力学直径时,能够产生有效的尺寸筛分效应,同时较低的比表面积和孔体积减少了非特异性吸附,确保CH₄优先占据高亲和力吸附位点。这种扩散筛分与热力学选择性之间的协同平衡,为后续ML模型识别CH₄/N₂特异性描述符奠定了结构基础。


  机器学习模型构建与分子指纹挖掘


研究以CH₄/N₂选择性值4为阈值,将MOFs分为两类,并系统选取九项输入特征构建分类预测模型:六项物理结构参数描述扩散路径的几何约束;两项热力学能量描述符(CH₄/N₂ Henry系数比S₀和吸附度比Ead₀)量化热力学选择性趋势;一项MACCS分子指纹聚焦于配体中与CH₄相互作用的官能团。经对比XGBoost、决策树和随机森林三种算法后,XGBoost模型表现最优,对两类MOFs的预测准确率分别达到96%和98%。



▲ Fig.2 | 机器学习辅助的高通量计算筛选。(a) XGBoost算法性能预测。(b) 特征重要性及SHAP值分布图。(c) 不同金属MOFs在优势分子指纹片段中的概率分布。(d) 优势分子指纹片段特征的频率分布图。(e) 实验配体的示意图。


基于SHAP可解释性框架的分析揭示了16个与CH₄/N₂选择性呈显著正相关的优势分子指纹片段(图2b)。进一步的概率分析表明,在含有这些优势分子指纹的高性能MOFs中,Ni基MOFs占比最高(19.75%,图2c),这归因于Ni²⁺独特的八面体配位模式有利于形成N/O混合配位环境。图2d展示了优势分子指纹片段在Ni基MOFs中的频率分布特征。基于上述分析,研究团队提取了与正向分子指纹特征关联的配体片段和金属中心,并据此设计了新型配体(图2e),将指纹正向片段组装为实验可合成的有机配体。


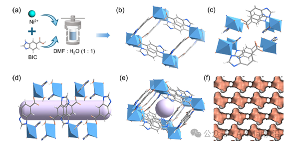
  Ni-BIC的合成与晶体结构


基于分子指纹挖掘结果,研究团队将优势片段组装为新型配体,并与Ni²⁺金属中心配位合成了新型MOF材料Ni-BIC。



▲ Fig.3 | Ni-BIC的晶体结构。(a) 实验合成的前驱体。(b) 沿晶体学c轴方向观察的Ni-BIC层状结构。(c) Ni-BIC中相邻层的堆叠方式。(d) 沿a轴方向观察的Ni-BIC晶体结构。(e) 沿c轴方向观察的Ni-BIC晶体结构。(f) Ni-BIC孔道Connolly表面的截面图,探针半径为1.0 Å。(Ni:青色,N:蓝色,O:橙色,C:灰色,H:白色)。


图3展示了Ni-BIC的晶体结构。该材料由Ni²⁺与含吡唑和羧酸基团的有机配体通过配位键构建而成,沿c轴方向呈现层状结构(图3b),相邻层之间通过特定的堆叠模式组装(图3c)。沿不同晶轴方向的结构视图(图3d、e)清晰展示了其三维骨架特征。Connolly表面分析(探针半径1.0 Å)揭示了Ni-BIC中通道的截面形貌(图3f),其孔道尺寸与前述GCMC计算所确定的最优窗口高度吻合,为实现CH₄/N₂的高效尺寸筛分提供了结构保障。


  静态吸附分离性能



▲ Fig.4 | MOFs对CH4/N2混合气的静态吸附分离性能。(a) 298 K和273 K下Ni-BIC表面上CH4和N2的吸附等温线。(b) CH4/N2吸附量比值与其他高性能吸附剂的对比。(c) 298 K下Ni-BIC对CH4的吸附循环实验。(d) Ni-BIC的IAST选择性。(e) Ni-BIC与文献报道的水稳定基准吸附剂在CH4/N2(50/50,v/v)分离性能方面的对比。(f) CH4吸附热与CH4/N2选择性的对比。


图4a展示了Ni-BIC在298 K和273 K下对CH₄和N₂的吸附等温线,CH₄的吸附量显著高于N₂,表明材料对CH₄具有优先吸附能力。在298 K、1 bar条件下,Ni-BIC的CH₄/N₂吸附量比达到6.4(图4b),优于多数已报道的高性能吸附剂。循环吸附实验(图4c)证实了材料优异的可再生性。基于理想吸附溶液理论(IAST)计算的CH₄/N₂(50/50, v/v)选择性在298 K、1 bar下达到13.1(图4d),在水稳定基准吸附剂中处于领先水平(图4e)。图4f进一步对比了CH₄吸附热与选择性的关系,Ni-BIC在吸附亲和力与选择性之间实现了良好平衡。这一优异性能源于孔径尺寸筛分与孔道微环境协同作用的结果。


  动态穿透分离验证



▲ Fig.5 | 动态分离行为。(a) Ni-BIC对CH4/N2(50/50,v/v)混合气的穿透实验。(b) 循环穿透实验中CH4的动态吸附量及穿透时间。


为评估实际分离性能,研究开展了CH₄/N₂(50/50, v/v)混合气穿透实验。如图5a所示,N₂率先穿透固定床,而CH₄被有效截留,两种气体之间存在明显的穿透时间差,证实了Ni-BIC在动态条件下的高效分离能力。动态CH₄吸附容量为9.0 cm³·g⁻¹(图5b),略低于静态吸附容量,这归因于竞争吸附条件下部分CH₄吸附位点被N₂占据。循环穿透实验表明,Ni-BIC在多次循环后仍保持稳定的分离性能和动态吸附容量,展现出优异的可循环使用性。


  总结与展望


本研究构建了一套从GCMC计算预筛选、分子指纹驱动的可解释ML建模、优势片段概率挖掘到配体逆向设计与实验合成的完整闭环工作流。所合成的Ni-BIC在CH₄/N₂选择性(13.1)、吸附量比(6.4)和动态分离性能方面均表现优异,验证了该数据驱动策略的有效性。该方法的核心创新在于将MACCS分子指纹作为可解释的化学描述符引入ML模型,突破了传统研究停留在"性能预测"层面的局限,实现了从微观片段到可合成配体的逆向设计跨越。未来,该策略有望拓展至其他挑战性气体分离体系,而将合成可行性约束和稳定性预测进一步整合到工作流中,将是推动AI辅助MOF设计走向实用化的重要方向。



参考文献:G. Che, P. Guo, M. Chang, Q. Yang, and D. Liu, “Data-Driven Design of Metal–Organic Frameworks for Efficient Coalbed Methane Purification: From Molecular Fingerprint Mining to Experimental Validation.” Advanced Functional Materials (2026): e75634. https://doi.org/10.1002/adfm.75634





文章改变转载自微信公众号:AI4Mat前沿


原文链接:https://mp.weixin.qq.com/s/JVOpXUSFK2wnBs_EpBJe-A

10
0
0
0
关于作者
相关文章
  • 世界量子日 | 量子计算的“隐形基石”—— 普朗克常数引领的量 ...
    在神秘而浩瀚的宇宙舞台上,物理常数犹如一组神秘的密码,它们默默掌控着万物的运行规律。在这些 ...
    了解详情 
  • Cell 子刊 | AI 虚拟代谢(AIVM)问世,开启细胞代谢研究新范式 ...
    编译丨王聪编辑丨王多鱼排版丨水成文近日,西湖大学李子青团队联合上海人工智能实验室/上海创智 ...
    了解详情 
  • 当Transformer遇见霍普菲尔德网络
      一个让人惊叹的数学巧合2020年,一篇来自奥地利约翰内斯·开普勒大学的论文在人工 ...
    了解详情 
  • Nature Methods | 当扩散模型遇见单细胞:Squidiff 重构细胞命运 ...
    ▍导语|Squidiff 如何预测分化轨迹与复杂扰动反应?单细胞测序让我们能够以前所未有的分辨率观 ...
    了解详情 
领取成功
本月5个550bit真机配额已发放给您,配额将在2个月后到期,请及时使用哦~
活动中心
联系我们
二维码
返回顶部
返回
活动中心

完成任务,轻松获取真机配额

×
每日必做
新手任务
长期任务
其他任务
快速回复 返回顶部 返回列表
玻色有奖小调研
填写问卷,将免费赠送您1个1000bit真机配额
(单选) 您是从哪个渠道得知我们的?*
您是从哪个社交媒体得知我们的?*
您是通过哪个学校的校园宣讲得知我们的呢?
取消

提交成功

真机配额已发放到您的账户,可前往【云平台】查看

量子AI开发者认证

考核目标

开发者能够成功搭建Kaiwu-PyTorch-Plugin项目基础环境,并成功运行示例代码,根据示例提示,输出指定的值并填写至相应的输入框中。

通过奖励

5个一年效期的1000量子比特真机配额

专属「量子AI开发者」社区认证标识

开发者权益

每月固定权益:5个550量子比特真机配额
前往考核

第一步

按照README提示成功安装Kaiwu-PyTorch-Plugin库环境依赖
前往GitHub

第二步

运行 community-assessment 分支下的 run_rbm.py 代码示例

第三步

理解示例代码,手动打印并填写如下数值:

正相采样的状态

负相采样的状态

正相的能量值

负相的能量值

*

提交答案

开发者权益

每月固定权益:5个550量子比特的真机配额

恭喜您完成考核

您将获得量子AI开发者认证标识及考核奖励

1000 bit*5

配额

Quantum AI Developer Certification

Assessment Objectives

Developers should successfully set up the basic environment for the Kaiwu-PyTorch-Plugin project, run the QBM-VAE sample code, and calculate the correct FID value based on the random seed value provided by the system.

Pass Rewards

10 quotas for 550-qubit real quantum machines with a one-year validity period

Exclusive "Quantum AI Developer" Community Certification Badge

Developer Benefits

Fixed Monthly Benefits: 5 quotas for 550-qubit real quantum machines
Proceed to Assessment

Step 1

Install the environment dependencies for the Kaiwu-PyTorch-Plugin library according to the README instructions
Go to GitHub

Step 2

Replace the Seed Value

Your seed value is

Step 3

Enter the FID Value You Calculated

*

Submit Answer

Developer Benefits

Fixed Monthly Benefits: 5 quotas of 550-qubit real machines

Congratulations on Completing the Assessment

You will receive the Quantum AI Developer Certification Badge and Assessment Rewards

550bit*10

Quotas